Introducción
El mirceno es un monoterpeno acíclico ampliamente distribuido en el reino vegetal, presente en especies como Humulus lupulus (lúpulo), Mangifera indica (mango) y diversas variedades de Cannabis sativa. Desde el punto de vista químico, pertenece a la familia de los terpenos derivados del isopreno, caracterizados por su volatilidad y su papel en la señalización ecológica de las plantas.
En el contexto del sistema endocannabinoide, el mirceno no actúa como ligando directo de los receptores cannabinoides clásicos, pero se ha propuesto como un modulador indirecto de la fisiología endocannabinoide a través de mecanismos que implican membranas celulares, canales iónicos y vías inflamatorias. Su relevancia se sitúa en la interfaz entre la química de productos naturales, la farmacología y la biología molecular (Russo, 2011; McPartland, 2017).
Además, el mirceno es uno de los terpenos más abundantes en ciertas quimiovariedades de cannabis, lo que ha llevado a su inclusión en discusiones científicas sobre el denominado efecto séquito, aunque este concepto sigue siendo objeto de debate crítico en la literatura contemporánea (Russo, 2019).
Historia del descubrimiento
El mirceno fue identificado en el siglo XIX en el contexto del desarrollo de la química de aceites esenciales, un campo impulsado por el interés en compuestos aromáticos de origen vegetal. Su aislamiento inicial se asocia a estudios sobre el lúpulo (Humulus lupulus), donde se detectó como componente volátil predominante responsable de características organolépticas específicas.
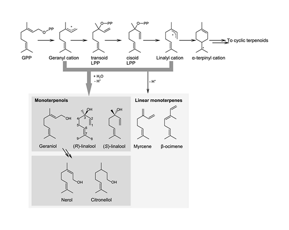
Durante el siglo XX, con el avance de técnicas analíticas como la cromatografía de gases y la espectrometría de masas, el mirceno fue caracterizado estructuralmente como un monoterpeno lineal con dos dobles enlaces conjugados, lo que explica su alta reactividad química. Estos avances permitieron su identificación en múltiples especies vegetales y su clasificación dentro de la biosíntesis terpénica dependiente del pirofosfato de geranilo (GPP) (Simonsen, 1957; Gershenzon, 2007).
En las últimas décadas, el interés por el mirceno ha resurgido en el ámbito de la investigación sobre cannabis, donde su abundancia relativa y su posible interacción con otros fitocompuestos han motivado estudios en farmacología y neurobiología (Russo, 2011).
Estructura química y propiedades fisicoquímicas
El mirceno (C₁₀H₁₆) es un monoterpeno acíclico formado por la condensación de dos unidades de isopreno. Su estructura se caracteriza por la presencia de dos dobles enlaces, uno de ellos conjugado, lo que le confiere propiedades reactivas relevantes en procesos de oxidación y polimerización.
Desde el punto de vista fisicoquímico, es un compuesto altamente lipofílico y volátil, con baja solubilidad en agua y elevada afinidad por membranas biológicas. Estas propiedades favorecen su capacidad para atravesar barreras biológicas y participar en interacciones no específicas con lípidos de membrana, lo que puede influir en la dinámica de proteínas integrales como canales iónicos o receptores acoplados a proteínas G.
En plantas, el mirceno se sintetiza a partir del pirofosfato de geranilo mediante la acción de enzimas terpén sintasas específicas, formando parte de rutas metabólicas secundarias implicadas en defensa química y comunicación ecológica (Gershenzon, 2007; Dudareva, 2013).
Distribución y contexto fisiológico
El mirceno se encuentra ampliamente distribuido en el reino vegetal, siendo particularmente abundante en el lúpulo, el mango, el tomillo y diversas especies de cannabis. En estas plantas, se acumula principalmente en estructuras secretoras como tricomas glandulares o células especializadas en la producción de aceites esenciales.
En el cannabis, el mirceno puede representar uno de los terpenos mayoritarios en ciertas variedades, contribuyendo al perfil aromático característico descrito como terroso o herbal. Su concentración puede variar significativamente en función de factores genéticos, ambientales y de procesamiento postcosecha.
Desde una perspectiva fisiológica vegetal, el mirceno participa en mecanismos de defensa frente a herbívoros y patógenos, así como en la atracción de polinizadores. En humanos, tras su exposición, su biodistribución está influida por su lipofilia, con una rápida absorción y posible acumulación transitoria en tejidos ricos en lípidos (McPartland, 2017).
Interacción con fitocannabinoides
El mirceno no presenta afinidad significativa por los receptores cannabinoides CB1 o CB2, pero puede influir indirectamente en la señalización endocannabinoide mediante mecanismos que afectan la fluidez de membranas y la actividad de canales iónicos.
Se ha sugerido que los terpenos, incluido el mirceno, podrían modular la farmacocinética de los cannabinoides al alterar la permeabilidad de membranas biológicas, aunque estas hipótesis requieren mayor validación experimental. Asimismo, se han propuesto posibles interacciones con canales TRP, implicados en la nocicepción y la termorregulación, lo que abre líneas de investigación en neurobiología sensorial.
El concepto de efecto séquito ha incorporado al mirceno como posible modulador de efectos globales en preparaciones complejas de cannabis. Sin embargo, la evidencia científica que respalda estas interacciones sigue siendo limitada y en muchos casos preclínica, por lo que su interpretación debe realizarse con cautela (Russo, 2019; Finlay, 2020).
Mecanismos moleculares
A nivel molecular, el mirceno ha sido estudiado en modelos experimentales por su capacidad para modular procesos relacionados con la inflamación, el estrés oxidativo y la excitabilidad neuronal. Estos efectos parecen estar mediados por interacciones indirectas con membranas celulares y proteínas asociadas.
Se han descrito posibles efectos sobre la modulación de canales iónicos, incluyendo miembros de la familia TRP, así como sobre vías intracelulares relacionadas con la producción de citocinas y mediadores inflamatorios. Además, algunos estudios sugieren que el mirceno podría influir en la homeostasis redox celular mediante la modulación de especies reactivas de oxígeno.
Es importante destacar que la mayoría de estos hallazgos provienen de estudios in vitro o en modelos animales, y su extrapolación a sistemas humanos requiere una evaluación crítica dentro del marco de la investigación biomédica (do Vale, 2002; Rufino, 2015).
Importancia en investigación biomédica
El mirceno representa un compuesto de interés en la investigación de productos naturales debido a su abundancia, su estructura química relativamente simple y su diversidad de efectos observados en modelos experimentales.
Su estudio contribuye a comprender mejor el papel de los terpenos en sistemas biológicos complejos, así como su posible interacción con otros compuestos bioactivos presentes en matrices vegetales. En el contexto del cannabis, el mirceno se investiga como parte del perfil químico global que define las propiedades de diferentes preparaciones.
No obstante, la investigación actual se encuentra en una fase predominantemente preclínica, y es necesario continuar desarrollando estudios bien diseñados que permitan esclarecer su relevancia fisiológica en humanos (McPartland, 2017; Finlay, 2020).
Véase también
Referencias
- Russo EB. (2011). Taming THC: potential cannabis synergy and phytocannabinoid-terpenoid entourage effects. British Journal of Pharmacology. - Russo EB. (2019). The case for the entourage effect and conventional breeding of clinical cannabis. Frontiers in Plant Science. - McPartland JM, Russo EB. (2017). Cannabis and cannabis extracts: greater than the sum of their parts? Journal of Cannabis Therapeutics. - Finlay DB et al. (2020). The pharmacology of cannabis and cannabinoids. British Journal of Pharmacology. - Gershenzon J, Dudareva N. (2007). The function of terpene natural products. Nature Chemical Biology. - Dudareva N et al. (2013). Biosynthesis of plant volatiles. Annual Review of Plant Biology. - do Vale TG et al. (2002). Central effects of citral, myrcene and limonene. Phytomedicine. - Rufino AT et al. (2015). Anti-inflammatory effects of terpenes. European Journal of Pharmacology. - Simonsen JL. (1957). The Terpenes. Cambridge University Press.




