Introducción
El β-cariofileno es un sesquiterpeno natural ampliamente distribuido en el reino vegetal y presente en numerosas especies aromáticas, entre ellas el clavo (Syzygium aromaticum), la pimienta negra (Piper nigrum) o el lúpulo (Humulus lupulus). Dentro de Cannabis sativa, constituye uno de los terpenos más relevantes tanto por su abundancia como por su singular comportamiento biológico.
A diferencia de la mayoría de los terpenos, cuyo papel se limita principalmente a funciones organolépticas o ecológicas, el β-cariofileno presenta una propiedad distintiva: es capaz de interactuar directamente con el sistema endocannabinoide. Esta interacción lo posiciona como un compuesto híbrido desde el punto de vista funcional, ya que comparte características estructurales con los terpenos, pero muestra actividad molecular propia de ligandos endógenos o exógenos del sistema cannabinoide (Gertsch, 2008).
Este rasgo ha convertido al β-cariofileno en uno de los compuestos más estudiados dentro del contexto de la química del cannabis, no tanto por su contribución aromática, sino por su relevancia en la señalización celular y su potencial como modulador periférico.
Estructura química
El β-cariofileno (C₁₅H₂₄) pertenece a la familia de los sesquiterpenos, derivados de tres unidades de isopreno. Su estructura presenta una configuración bicíclica característica, que incluye un anillo de nueve miembros fusionado a un inusual anillo de ciclobutano, una característica poco frecuente en metabolitos secundarios vegetales.
Esta arquitectura molecular le confiere una conformación rígida y altamente hidrofóbica, facilitando su interacción con entornos lipídicos como las membranas celulares. Además, la presencia de dobles enlaces en posiciones específicas contribuye a su reactividad química y a su reconocimiento por enzimas y receptores biológicos.
Desde el punto de vista estereoquímico, el β-cariofileno presenta centros quirales que determinan su configuración tridimensional, lo que resulta clave para su afinidad por dianas moleculares específicas como el receptor CB2 (Pertwee, 2008).
Biosíntesis
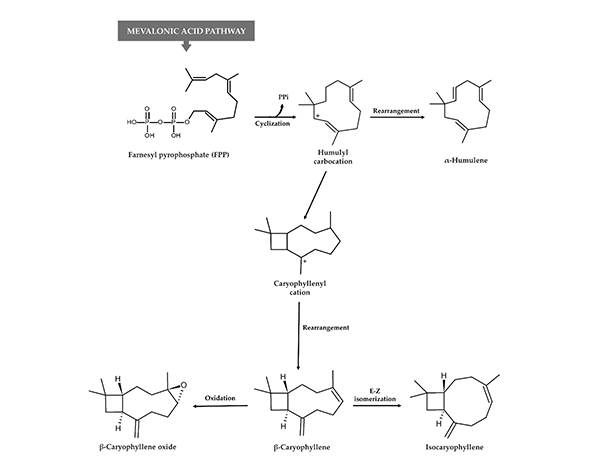
La biosíntesis del β-cariofileno tiene lugar a través de la vía del mevalonato, una de las principales rutas metabólicas responsables de la producción de terpenos en organismos eucariotas.
El proceso comienza con la formación de unidades de isopentenil pirofosfato (IPP) y dimetilalil pirofosfato (DMAPP), que se condensan para generar el farnesil pirofosfato (FPP), precursor directo de los sesquiterpenos. A partir de FPP, una enzima específica, la cariofileno sintasa, cataliza una reacción de ciclización compleja que da lugar a la estructura bicíclica del β-cariofileno.
Este proceso ocurre en compartimentos celulares especializados, y en el caso de Cannabis sativa, se localiza principalmente en los tricomas glandulares, donde se sintetizan y acumulan tanto terpenos como fitocannabinoides (Pichersky & Gershenzon, 2002).
Distribución en la naturaleza
El β-cariofileno se encuentra ampliamente distribuido en plantas aromáticas y especias, donde desempeña funciones ecológicas relacionadas con la defensa frente a herbívoros y patógenos, así como en la atracción de polinizadores.
Entre las principales fuentes naturales destacan:
- Clavo (Syzygium aromaticum), donde puede alcanzar concentraciones elevadas en el aceite esencial
- Pimienta negra (Piper nigrum)
- Lúpulo (Humulus lupulus), relevante en el contexto cervecero
- Canela (Cinnamomum spp.)
- Orégano (Origanum vulgare)
- Cannabis sativa, donde forma parte del perfil terpénico junto a monoterpenos y otros sesquiterpenos
En cannabis, su acumulación en tricomas glandulares lo sitúa en el mismo microentorno que los fitocannabinoides, favoreciendo interacciones químicas y funcionales dentro del fitocomplejo.
Interacción con el sistema endocannabinoide
Una de las propiedades más relevantes del β-cariofileno es su capacidad para actuar como agonista selectivo del receptor CB2. Este hallazgo, descrito por Gertsch et al. (2008), supuso un punto de inflexión en la comprensión de los terpenos, al demostrar que algunos de ellos pueden interactuar directamente con sistemas de señalización típicamente asociados a lípidos endógenos o fitocannabinoides.
El receptor CB2 se expresa predominantemente en células del sistema inmunológico y tejidos periféricos, y su activación se asocia a procesos de señalización intracelular mediados por proteínas Gi/o. A diferencia del receptor CB1, localizado principalmente en el sistema nervioso central, la activación de CB2 no está vinculada a efectos psicoactivos.
El β-cariofileno muestra afinidad selectiva por CB2 y prácticamente nula por CB1, lo que lo posiciona como un modulador periférico del sistema endocannabinoide. Esta selectividad es clave para entender su perfil funcional y su interés en investigación biomédica (Pertwee, 2008).
Mecanismos moleculares
A nivel molecular, el β-cariofileno actúa mediante varios mecanismos interrelacionados:
- Unión directa al receptor CB2 como agonista selectivo
- Activación de proteínas Gi/o, con inhibición de la adenilato ciclasa
- Modulación de rutas de señalización intracelular implicadas en procesos celulares
- Interacción con membranas lipídicas, alterando su fluidez y organización
Su alta lipofilia facilita su inserción en la bicapa lipídica, lo que puede influir indirectamente en la función de proteínas de membrana, incluidos receptores y canales iónicos.
Estos mecanismos han sido descritos principalmente en modelos experimentales, por lo que su extrapolación a sistemas fisiológicos humanos requiere un análisis cuidadoso.
Contexto fisiológico
El receptor CB2 desempeña un papel relevante en la regulación de procesos periféricos, especialmente en el sistema inmunológico. Se expresa en células como macrófagos, linfocitos y otras células implicadas en la respuesta inmune.
La interacción del β-cariofileno con CB2 lo sitúa dentro de este contexto fisiológico, donde puede participar en la modulación de señales intercelulares y en la regulación de procesos relacionados con la homeostasis tisular.
Es importante subrayar que la mayor parte de la evidencia disponible procede de estudios preclínicos, incluyendo modelos celulares y animales. Por tanto, su papel exacto en humanos sigue siendo objeto de investigación activa.
Interacción con fitocannabinoides
En Cannabis sativa, el β-cariofileno forma parte de un sistema químico complejo en el que coexiste con fitocannabinoides como el CBD o el THC, así como con otros terpenos.
Esta coexistencia ha dado lugar a la hipótesis de interacciones funcionales entre compuestos, donde el β-cariofileno podría contribuir a la modulación de la señalización endocannabinoide a través de CB2, complementando la actividad de otros ligandos.
Sin embargo, estas interacciones deben interpretarse dentro de un marco científico riguroso, evitando simplificaciones excesivas o extrapolaciones no fundamentadas (Russo, 2011).
Importancia en investigación
El β-cariofileno representa un caso singular dentro de los metabolitos secundarios vegetales, al actuar simultáneamente como compuesto aromático y como ligando funcional de un receptor del sistema endocannabinoide.
Esta dualidad ha despertado un interés creciente en disciplinas como la farmacología, la biología molecular y la química de productos naturales. Además, su presencia en alimentos y productos de consumo habitual añade una dimensión adicional desde el punto de vista de la exposición dietética.
Su estudio contribuye a ampliar la comprensión de cómo compuestos vegetales pueden interactuar con sistemas de señalización en mamíferos, abriendo nuevas líneas de investigación en el campo de la bioquímica y la fisiología.
Véase también
- Sistema endocannabinoide
- Receptor CB2
- Humuleno
Referencias
- Gertsch J. (2008). Beta-caryophyllene is a dietary cannabinoid. PNAS. - Pertwee RG. (2008). The pharmacology of cannabinoid receptors. Br J Pharmacol. - Russo EB. (2011). Taming THC: potential cannabis synergy. Br J Pharmacol. - Pichersky E, Gershenzon J. (2002). The formation and function of plant volatiles. Curr Opin Plant Biol.




