Introducción
El ácido cannabidiólico (CBDA) es un fitocannabinoide presente de forma natural en la planta de Cannabis sativa, considerado el precursor biosintético directo del cannabidiol (CBD). Pertenece al grupo de los cannabinoides ácidos, compuestos que se sintetizan en la planta en su forma carboxilada y que, mediante procesos como la descarboxilación térmica, pueden transformarse en sus formas neutras.
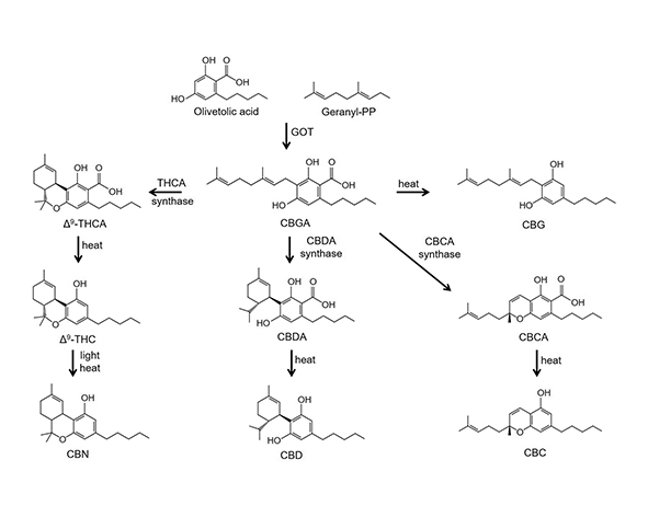
Desde una perspectiva bioquímica, el CBDA se origina a partir del ácido cannabigerólico (CBGA) mediante la acción de enzimas específicas, desempeñando un papel central en la ruta metabólica de los fitocannabinoides. Este proceso forma parte de la maquinaria enzimática de la planta responsable de generar la diversidad química característica del cannabis (Taura et al., 2007; Sirikantaramas et al., 2004).
En el contexto del sistema endocannabinoide, el CBDA no actúa como un ligando clásico de los receptores cannabinoides CB1 o CB2, pero ha sido objeto de investigación por su posible interacción con otras dianas moleculares y sistemas de señalización, lo que lo sitúa dentro del campo de estudio de la farmacología de los cannabinoides (Rock et al., 2013; Pertwee, 2008).
A diferencia del CBD, el CBDA es termolábil y su estabilidad depende de factores como la temperatura, el tiempo y las condiciones de almacenamiento, lo que tiene implicaciones relevantes en su presencia en extractos vegetales y preparaciones derivadas de la planta.
Historia del descubrimiento
El estudio de los cannabinoides ácidos, incluyendo el ácido cannabidiólico (CBDA), está estrechamente ligado al desarrollo de la química del cannabis a lo largo del siglo XX. Aunque los primeros aislamientos de compuestos derivados de Cannabis sativa se remontan a décadas anteriores, durante muchos años no se distinguía claramente entre las formas ácidas y neutras de estos compuestos.
En la década de 1960, los trabajos pioneros de Raphael Mechoulam y su equipo permitieron la identificación y caracterización de varios fitocannabinoides, entre ellos el cannabidiol (CBD). Sin embargo, inicialmente estos estudios se centraron en las formas descarboxiladas, debido a que los métodos de análisis implicaban frecuentemente calor, lo que transformaba los cannabinoides ácidos en sus equivalentes neutros (Mechoulam y Gaoni, 1965).
Fue posteriormente, con el avance de técnicas analíticas más suaves y precisas —como la cromatografía líquida de alta resolución (HPLC)— cuando se pudo observar que en la planta fresca los cannabinoides se encuentran predominantemente en su forma ácida. Este avance permitió identificar al CBDA como el verdadero compuesto biosintetizado por la planta, y no el CBD en sí (Hazekamp et al., 2005).
Un hito clave en la comprensión del CBDA fue la identificación de la enzima CBDA-sintasa, responsable de convertir el ácido cannabigerólico (CBGA) en CBDA. Este descubrimiento, descrito en trabajos como los de Taura y colaboradores, estableció las bases bioquímicas de la biosíntesis de cannabinoides y permitió entender la organización metabólica del cannabis (Taura et al., 2007).
Desde entonces, el CBDA ha pasado de ser considerado simplemente un precursor inestable a convertirse en un objeto de estudio propio dentro de la investigación en fitocannabinoides, especialmente en relación con sus propiedades fisicoquímicas, estabilidad y posibles interacciones biológicas.
Estructura química y biosíntesis
El ácido cannabidiólico (CBDA) es un compuesto de naturaleza fenólica perteneciente a la familia de los fitocannabinoides, caracterizado por la presencia de un grupo carboxilo (-COOH) que lo distingue de su forma neutra, el cannabidiol (CBD). Esta diferencia estructural es clave, ya que determina tanto sus propiedades fisicoquímicas como su estabilidad y comportamiento en distintos entornos.
Desde el punto de vista molecular, el CBDA presenta un esqueleto derivado de la combinación de una unidad terpénica y una estructura policetídica, reflejando el origen híbrido de los fitocannabinoides. Su estructura incluye grupos hidroxilo fenólicos y una cadena lateral pentílica, elementos que contribuyen a su interacción con membranas biológicas y posibles dianas moleculares (ElSohly y Slade, 2005; Pertwee, 2008).
Biosíntesis en la planta
El CBDA se forma en la planta de Cannabis sativa a través de una ruta biosintética específica que comienza con la generación del ácido cannabigerólico (CBGA), considerado el precursor central de múltiples fitocannabinoides.
Este proceso implica la acción de la enzima CBDA-sintasa, que cataliza la conversión oxidativa del CBGA en CBDA. La reacción ocurre principalmente en los tricomas glandulares de la planta, estructuras especializadas en la producción y acumulación de metabolitos secundarios (Taura et al., 2007; Sirikantaramas et al., 2004).
La ecuación simplificada del proceso sería:
CBGA → CBDA (mediante CBDA-sintasa)
Este mismo precursor, el CBGA, también puede dar lugar a otros cannabinoides ácidos mediante enzimas distintas, como la THCA-sintasa o la CBCA-sintasa, lo que sitúa al CBDA dentro de una red metabólica altamente regulada y competitiva.
Descarboxilación
Uno de los aspectos fundamentales del CBDA es su inestabilidad térmica. Bajo condiciones de calor, luz o tiempo prolongado, el grupo carboxilo se pierde en forma de dióxido de carbono (CO₂), transformando el CBDA en CBD mediante un proceso conocido como descarboxilación.
CBDA → CBD + CO₂
Este proceso no solo modifica la estructura química del compuesto, sino también sus propiedades físico-químicas y su perfil de interacción con sistemas biológicos, siendo un elemento clave en la transformación de los extractos de cannabis y en su composición final (Wang et al., 2016).
Mecanismos moleculares
El ácido cannabidiólico (CBDA) presenta un perfil de interacción molecular distinto al de los fitocannabinoides neutros como el CBD, en gran parte debido a la presencia de su grupo carboxilo, que influye en su polaridad, estabilidad y afinidad por distintas dianas biológicas.
A diferencia de otros cannabinoides, el CBDA no muestra afinidad significativa por los receptores cannabinoides clásicos CB1 y CB2, lo que sugiere que su actividad biológica, cuando se estudia, se desarrolla principalmente a través de mecanismos alternativos (Pertwee, 2008).
Interacción con canales TRP
Diversos estudios han explorado la interacción del CBDA con miembros de la familia de los canales TRP (Transient Receptor Potential), implicados en la detección de estímulos físicos y químicos. En particular, se ha observado que el CBDA puede modular la actividad de canales como TRPV1, aunque con perfiles de afinidad y eficacia distintos a otros fitocannabinoides (De Petrocellis et al., 2011).
Estos canales participan en procesos como la señalización sensorial y la homeostasis celular, lo que ha motivado el interés en el CBDA dentro del estudio de la fisiología molecular del sistema endocannabinoide ampliado.
Interacción con el sistema serotoninérgico
Uno de los mecanismos más estudiados del CBDA es su posible interacción con el receptor 5-HT1A, perteneciente al sistema serotoninérgico. Investigaciones preclínicas han sugerido que el CBDA podría actuar como modulador de este receptor en determinados contextos experimentales (Rock et al., 2013).
El receptor 5-HT1A está implicado en la regulación de múltiples procesos neurobiológicos, y su modulación ha sido ampliamente estudiada en farmacología, lo que sitúa al CBDA como un compuesto de interés en este ámbito de investigación.
Inhibición enzimática
Se han descrito posibles efectos del CBDA sobre enzimas implicadas en rutas inflamatorias, como la ciclooxigenasa-2 (COX-2), aunque estos hallazgos provienen principalmente de modelos experimentales y requieren mayor validación (Takeda et al., 2008).
Este tipo de interacción sugiere que el CBDA podría participar en la modulación de rutas bioquímicas más amplias, más allá del sistema endocannabinoide clásico, integrándose en redes de señalización celular complejas.
Consideraciones generales
En conjunto, el CBDA se sitúa dentro de un perfil farmacológico caracterizado por:
- Baja interacción directa con CB1/CB2
- Actividad en dianas no cannabinoides
- Participación en sistemas de señalización alternativos
Este patrón es coherente con la creciente evidencia de que los fitocannabinoides pueden actuar sobre un conjunto amplio de receptores, canales y enzimas, más allá del sistema endocannabinoide clásico, configurando lo que algunos autores denominan el “endocannabinoidome” (Di Marzo y Piscitelli, 2015).
Distribución y contexto fisiológico
El ácido cannabidiólico (CBDA) no es un compuesto endógeno del organismo humano, sino un metabolito secundario sintetizado por la planta de Cannabis sativa. Por tanto, su “distribución” debe entenderse en dos niveles diferenciados: distribución en la planta y comportamiento en sistemas biológicos experimentales.
Distribución en la planta
En la planta de cannabis, el CBDA se localiza principalmente en los tricomas glandulares, estructuras epidérmicas especializadas que actúan como centros de biosíntesis y acumulación de fitocannabinoides.
Estos tricomas se concentran especialmente en:
- inflorescencias femeninas
- brácteas
- hojas cercanas a las flores
La concentración de CBDA depende de factores genéticos y ambientales, siendo predominante en variedades quimiotipo III (ricas en CBD). En estas variedades, la actividad de la CBDA-sintasa dirige la conversión del CBGA hacia CBDA en lugar de otros cannabinoides ácidos como el THCA (Taura et al., 2007).
Desde un punto de vista fisiológico vegetal, el CBDA —junto con otros fitocannabinoides— se ha relacionado con funciones como:
- defensa frente a radiación UV
- protección frente a patógenos
- interacción con el entorno ecológico
aunque estos roles siguen siendo objeto de estudio y no están completamente definidos.
Presencia en extractos y matrices vegetales
En preparaciones derivadas de la planta, la presencia de CBDA depende directamente del grado de procesamiento. En material vegetal fresco o mínimamente tratado, el CBDA puede representar una fracción significativa del perfil cannabinoide total.
Sin embargo, factores como:
- temperatura
- exposición a la luz
- tiempo de almacenamiento
favorecen su conversión a CBD mediante descarboxilación, reduciendo su proporción relativa.
Esto implica que el CBDA es más característico de:
- extractos “crudos”
- preparaciones no sometidas a calor
- matrices vegetales frescas
(Wang et al., 2016).
Comportamiento en sistemas biológicos
En estudios experimentales, el CBDA ha sido evaluado en modelos celulares y animales para analizar su distribución y posibles interacciones biológicas. Debido a su estructura química, el CBDA presenta características distintas a las del CBD en términos de:
- solubilidad
- estabilidad
- permeabilidad de membrana
El grupo carboxilo introduce una mayor polaridad relativa, lo que puede influir en su capacidad para atravesar barreras biológicas, como la barrera hematoencefálica, aunque estos aspectos continúan siendo investigados y no están completamente caracterizados.
En modelos preclínicos, el CBDA ha mostrado capacidad para interactuar con diferentes sistemas fisiológicos, especialmente aquellos relacionados con la señalización neuronal y la regulación celular, pero estos datos deben interpretarse dentro del contexto experimental en el que se obtienen (Rock et al., 2013).
Relación con el sistema endocannabinoide ampliado
Aunque el CBDA no actúa directamente sobre los receptores CB1 y CB2, su estudio se integra dentro del concepto de sistema endocannabinoide ampliado o “endocannabinoidome”, que incluye:
- receptores no cannabinoides
- canales iónicos (TRP)
- enzimas metabólicas
- sistemas de señalización asociados
En este contexto, el CBDA se considera un modulador potencial dentro de una red compleja de interacciones moleculares, más que un agonista clásico de los receptores cannabinoides.
Consideraciones fisiológicas
En conjunto, el CBDA se sitúa en una posición intermedia entre:
- metabolito vegetal funcional
- precursor biosintético
- compuesto de interés en investigación molecular
Su relevancia no deriva únicamente de su conversión a CBD, sino también de su propia identidad química y de las interacciones que puede establecer en sistemas biológicos experimentales.
Interacción con fitocannabinoides
El ácido cannabidiólico (CBDA) forma parte de la red química de los fitocannabinoides, no solo como precursor biosintético, sino también como componente que coexiste con otros compuestos en la matriz vegetal de Cannabis sativa. Su interacción con otros cannabinoides debe entenderse principalmente desde una perspectiva química, biosintética y de coexistencia en extractos, más que como una interacción farmacológica directa bien establecida.
Relación biosintética con otros cannabinoides
El CBDA se sitúa en una posición central dentro de la biosíntesis de fitocannabinoides, derivando del ácido cannabigerólico (CBGA), que actúa como precursor común de múltiples rutas metabólicas.
A partir del CBGA, diferentes enzimas determinan el destino metabólico:
- CBDA-sintasa → CBDA
- THCA-sintasa → THCA
- CBCA-sintasa → CBCA
Este esquema sitúa al CBDA dentro de una red enzimática competitiva, donde la expresión genética de la planta condiciona el perfil final de cannabinoides. En variedades ricas en CBD, la actividad predominante de la CBDA-sintasa favorece la acumulación de CBDA frente a otros cannabinoides ácidos (Taura et al., 2007).
Relación estructural con CBD
El vínculo más directo del CBDA es con el cannabidiol (CBD), ya que este último se forma mediante la descarboxilación del primero.
CBDA → CBD + CO₂
Este proceso implica la pérdida del grupo carboxilo, lo que genera cambios relevantes en:
- lipofilia
- estabilidad molecular
- interacción con membranas
- afinidad por distintas dianas moleculares
Desde el punto de vista químico, el CBDA y el CBD comparten el mismo esqueleto estructural, pero difieren en su estado de oxidación y en la presencia del grupo ácido, lo que condiciona su comportamiento en sistemas biológicos (Pertwee, 2008).
Coexistencia en matrices vegetales
En extractos derivados de la planta, especialmente aquellos mínimamente procesados, el CBDA coexiste con:
- otros cannabinoides ácidos (THCA, CBGA, CBCA)
- cannabinoides neutros (CBD, THC, CBG)
- terpenos y otros metabolitos secundarios
Esta coexistencia genera perfiles químicos complejos, donde la proporción relativa de CBDA depende del grado de descarboxilación y del procesamiento aplicado al material vegetal.
En este contexto, el CBDA forma parte de una matriz química dinámica, en la que los distintos compuestos pueden coexistir sin necesariamente interactuar de forma directa, pero contribuyendo al perfil global del extracto.
Consideraciones sobre interacciones funcionales
Aunque se han propuesto hipótesis sobre posibles interacciones funcionales entre fitocannabinoides —incluyendo efectos combinados en sistemas biológicos—, en el caso del CBDA la evidencia es todavía limitada y se basa principalmente en estudios preclínicos.
Por ello, el CBDA debe entenderse dentro de un marco de investigación en el que:
- las interacciones moleculares específicas aún se están caracterizando
- los efectos combinados no están completamente definidos
- el contexto experimental es determinante
Este enfoque es coherente con la complejidad del sistema endocannabinoide ampliado y con la diversidad química de los fitocannabinoides.
Importancia en investigación biomédica
El ácido cannabidiólico (CBDA) ha pasado en los últimos años de ser considerado un simple precursor biosintético del cannabidiol (CBD) a convertirse en un compuesto de interés propio dentro de la investigación en farmacología de cannabinoides. Este cambio de enfoque se debe principalmente al reconocimiento de que los cannabinoides ácidos poseen perfiles moleculares diferenciados que pueden dar lugar a interacciones biológicas específicas.
Investigación preclínica
La mayor parte del conocimiento actual sobre el CBDA proviene de modelos preclínicos, incluyendo estudios in vitro y en modelos animales. En este contexto, se ha investigado su interacción con diversas dianas moleculares, especialmente aquellas relacionadas con:
- señalización neuronal
- regulación celular
- sistemas de neurotransmisión
Uno de los focos principales ha sido su posible modulación del receptor serotoninérgico 5-HT1A, lo que ha generado interés en el estudio de la relación entre fitocannabinoides y sistemas no cannabinoides (Rock et al., 2013).
Asimismo, se han explorado interacciones con enzimas implicadas en rutas bioquímicas relevantes, como la ciclooxigenasa-2 (COX-2), así como con canales iónicos de la familia TRP, lo que sitúa al CBDA dentro de un marco de investigación multidimensional (Takeda et al., 2008; De Petrocellis et al., 2011).
Diferenciación respecto a cannabinoides neutros
Uno de los aspectos más relevantes en la investigación sobre CBDA es su diferenciación respecto a los cannabinoides neutros. Aunque el CBD ha sido ampliamente estudiado, el CBDA presenta:
- mayor polaridad
- menor estabilidad térmica
- diferente perfil de interacción molecular
Estas diferencias sugieren que los cannabinoides ácidos no deben considerarse simplemente formas “previas” a los compuestos activos, sino entidades químicas con potencial propio dentro de sistemas biológicos.
Interés en farmacología de cannabinoides
El CBDA se integra dentro del campo emergente de la farmacología de los fitocannabinoides, donde se estudian las interacciones de estos compuestos con múltiples sistemas de señalización, más allá de los receptores CB1 y CB2.
En este contexto, el CBDA ha contribuido a ampliar la comprensión de:
- la diversidad funcional de los cannabinoides
- la complejidad del sistema endocannabinoide ampliado
- la interacción entre sistemas de señalización celular
Este enfoque ha llevado a considerar el CBDA como una pieza relevante dentro del estudio del denominado “endocannabinoidome”, un sistema que engloba múltiples receptores, enzimas y mediadores lipídicos (Di Marzo y Piscitelli, 2015).
Limitaciones actuales
A pesar del creciente interés, la investigación sobre CBDA presenta varias limitaciones importantes:
- predominio de estudios preclínicos
- escasez de datos en humanos
- variabilidad en condiciones experimentales
- estabilidad química limitada del compuesto
Estas limitaciones hacen necesario interpretar los resultados disponibles dentro de su contexto experimental y continuar investigando para caracterizar con mayor precisión su perfil biológico.
Relevancia científica
En conjunto, el CBDA representa un ejemplo de cómo los metabolitos secundarios de origen vegetal pueden adquirir relevancia científica más allá de su papel biosintético.
Su estudio contribuye a:
- comprender la química del cannabis
- ampliar el conocimiento sobre los fitocannabinoides
- explorar nuevas vías de señalización molecular
sin que ello implique necesariamente aplicaciones clínicas directas en el estado actual del conocimiento.
Referencias
- Mechoulam R, Gaoni Y. (1965). Structure of cannabidiol. Tetrahedron. - Sirikantaramas S, Taura F, Morimoto S, Shoyama Y. (2004). Recent advances in cannabis sativa research: biosynthetic pathway of phytocannabinoids. Plant Biotechnology. - Taura F, Sirikantaramas S, Shoyama Y, Morimoto S. (2007). Phytocannabinoids in cannabis: recent studies on biosynthetic enzymes. Chemistry & Biodiversity. - Hazekamp A, Peltenburg A, Verpoorte R, Giroud C. (2005). Chromatographic and spectroscopic data of cannabinoids from cannabis sativa L. Journal of Liquid Chromatography & Related Technologies. - ElSohly MA, Slade D. (2005). Chemical constituents of marijuana: the complex mixture of natural cannabinoids. Life Sciences. - Pertwee RG. (2008). The diverse CB1 and CB2 receptor pharmacology of three plant cannabinoids. British Journal of Pharmacology. - De Petrocellis L, Ligresti A, Moriello AS, et al. (2011). Effects of cannabinoids and cannabinoid-enriched cannabis extracts on TRP channels. British Journal of Pharmacology. - Rock EM, Bolognini D, Limebeer CL, et al. (2013). Cannabidiolic acid prevents vomiting and nausea via 5-HT1A receptor agonism. British Journal of Pharmacology. - Takeda S, Misawa K, Yamamoto I, Watanabe K. (2008). Cannabidiolic acid as a selective cyclooxygenase-2 inhibitory component. Drug Metabolism and Disposition. - Wang M, Wang YH, Avula B, et al. (2016). Decarboxylation study of acidic cannabinoids: a novel approach using ultra-high-performance supercritical fluid chromatography. Cannabis and Cannabinoid Research. - Di Marzo V, Piscitelli F. (2015). The endocannabinoid system and its modulation by phytocannabinoids. Neurotherapeutics. - Lu HC, Mackie K. (2016). An introduction to the endogenous cannabinoid system. Biological Psychiatry.




