Inicio / Biblioteca

Terpenos

Artículos de este tema.

Todos Cannabinoides Ácidos Cannabis Dianas moleculares Endocannabinoides Enzimas Fitocannabinoides Fundamentos Nivel científico Receptores Terpenos
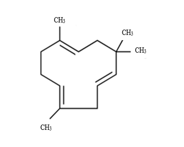
Mirceno

Mirceno

7 de abril de 2026
Introducción El mirceno es un monoterpeno acíclico ampliamente distribuido en el reino vegetal, presente en especies como Humulus lupulus (lúpulo), Mangifera indica (mango) y diversas variedades de Cannabis sativa. Desde el punto de vista químico, pertenece a la familia de los terpenos derivados del isopreno, caracterizados por su volatilidad y su papel en la señalización […]
limoneno (D- y L-enantiómeros)

Limoneno

8 de abril de 2026
Introducción El limoneno es un monoterpeno cíclico ampliamente distribuido en el reino vegetal, conocido por su aroma característico cítrico y su abundancia en las cáscaras de frutas como naranja, limón o pomelo. En el contexto de Cannabis sativa, el limoneno forma parte del perfil terpénico de determinadas variedades, contribuyendo tanto a su olor distintivo como […]
Alpha Pineo

Alfa Pineno

8 de abril de 2026
Introducción El α-pineno es un monoterpeno bicíclico ampliamente distribuido en el reino vegetal y uno de los compuestos volátiles más abundantes en la biosfera terrestre. Se caracteriza por su aroma fresco, resinoso y penetrante, típicamente asociado a bosques de coníferas, lo que refleja su elevada presencia en especies del género Pinus. Desde el punto de […]
Estructura química del Beta-pineno

Beta Pineno

8 de abril de 2026
Introducción El β-pineno es un monoterpeno bicíclico ampliamente distribuido en la naturaleza, caracterizado por su aroma fresco, seco y ligeramente herbal. Junto con su isómero estructural α-pineno, constituye uno de los terpenos más abundantes en plantas superiores, especialmente en coníferas, resinas vegetales y especies aromáticas. Su presencia es especialmente relevante en el contexto de la […]
Estructura química del linalool

Linalool

8 de abril de 2026
Introducción El linalool es un monoterpeno acíclico ampliamente distribuido en el reino vegetal, caracterizado por su aroma floral suave y ligeramente especiado. Se encuentra en más de 200 especies de plantas, incluyendo lavanda, albahaca, cilantro y diversas variedades de Cannabis sativa. Su relevancia trasciende el ámbito aromático, ya que ha sido objeto de estudio en […]
Estructura química del β-cariofileno

Beta cariofileno

8 de abril de 2026
Introducción El β-cariofileno es un sesquiterpeno natural ampliamente distribuido en el reino vegetal y presente en numerosas especies aromáticas, entre ellas el clavo (Syzygium aromaticum), la pimienta negra (Piper nigrum) o el lúpulo (Humulus lupulus). Dentro de Cannabis sativa, constituye uno de los terpenos más relevantes tanto por su abundancia como por su singular comportamiento […]
Estructura química del α-humuleno

Humuleno

8 de abril de 2026
Introducción El humuleno, también denominado α-humuleno, es un sesquiterpeno cíclico ampliamente distribuido en el reino vegetal, con especial presencia en especies aromáticas como Humulus lupulus (lúpulo) y Cannabis sativa. Este compuesto forma parte del conjunto de metabolitos secundarios volátiles que contribuyen tanto a la identidad química de las plantas como a su interacción con el […]
Estructura química del terpinoleno

Terpinoleno

8 de abril de 2026
Introducción El terpinoleno es un monoterpeno hidrocarbonado perteneciente a la familia de los isoprenoides, ampliamente distribuido en el reino vegetal como componente minoritario de aceites esenciales. A pesar de su menor abundancia relativa en comparación con otros monoterpenos como el limoneno o los pinenos, el terpinoleno desempeña un papel relevante en la definición del perfil […]
Estructura química del (-)-α-bisabolol

Bisabolol

8 de abril de 2026
Introducción El bisabolol, conocido principalmente como (-)-α-bisabolol, es un sesquiterpeno monocíclico ampliamente distribuido en la naturaleza, especialmente en plantas aromáticas como la Matricaria chamomilla. A diferencia de otros terpenos más abundantes en Cannabis sativa, su presencia en esta especie es relativamente baja, pero su relevancia biológica trasciende el contexto del cannabis, situándose en la intersección […]
Mi carrito
El carrito está vacío.

Parece que aún no te has decidido.